1.4 KiB
| tags | created | |||
|---|---|---|---|---|
|
Friday, October 18, 2024 |
e470bf3d_IMPs_in_the_ARPANET
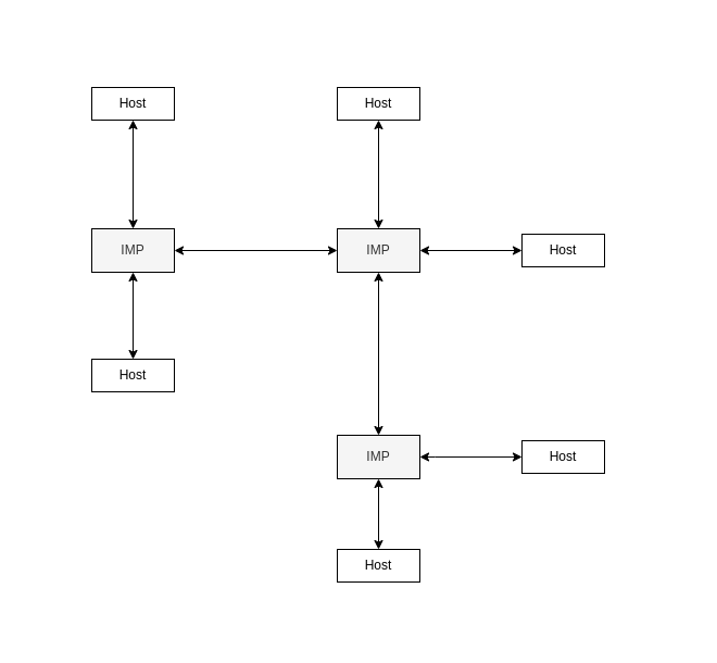
Within the #ARPANET, IMPs (Information Message Processors) were nodes distinguished from hosts. They were computers designed to receive and route the the packets from one host to another, described as "adaptive routing".
Their job was to:
- packetize or reassemble the data from the host
- find the most efficient pathway from one host to another
- store packets in their buffers whilst attending to other requests
- retry the transmission a set number of times in the case of error or data corruption
- confirm successful transmission
These responsibilities required the IMP to "know" the location and addresses of other IMPs and hosts on the network and their proximity to them.
From the point of view of the host user, the existence of the IMPs would be hidden. Hosts would connect to eachother transparently - it would appear as if you were directly connecting to the other host rather than an IMP.
Thus an IMP was a subnetwork within the broader ARPANET: the IMP would be the core of this subnetwork and the links to its direct hosts, the periperhy. Initially, in its full extent, the ARPANET comprised a network of these subnetworks.
IMPs were later known as 'gateways' and were the precursors to what we today call routers.
